GB/T19276.2
一、实验目的
测定样品在水性培养条件下的生物分率。
二、实验原理
在水性系统中利用好氧微生物来测定实验材料的生物分解率。
在45℃条件下,通过爆气供氧,连续红外法测定二氧化碳释放量,用于确定样品的实际二氧化碳释放量。
实际二氧化碳释放量与理论二氧化碳释放量的百分比,即为生物降解率。
三、实验仪器

四、实验材料
1、蒸馏水
2、自制腐熟堆肥(3-4个月肥龄)
3、纤维素
4、1mol 氢氧化钠溶液
5、无机盐溶液A定容至1000ml:
KH2PO4(无水)8.5g;
K2HPO 4(无水)21.75g;
Na2HPO4·2H2O 33.4g;
NH4CI :0.5g
6、无机盐溶液B:溶解MgSO4·2H2O 22.5g于水中,定容至1000ml;
7、无机盐溶液C:溶解CaCI2·2H2O 36.4g于水中,定容至1000ml;
8、无机盐溶液D:溶解FeCI3·6H2O 0.25g于水中,定容至1000ml;
9、溶液E:取3ml溶液A,0.3ml溶液B,0.3ml溶液C,0.3ml溶液D,定容至300ml;
五、实验步骤
1、活性污泥的准备
称取堆肥 400g,放入合适的容器中; 称取尿素 2g,与 400g 堆肥混合; 取 4000ml 溶液 F,与堆肥及尿素混合; 将混合液曝气、搅拌过夜,培养 24 小时以上; 将混合液过滤两次备用(过滤棉过滤)。
2、实验材料和参比材料的准备
2.1 称取适量的样品,将样品用研磨仪冷冻研磨成粉末,用于实验。
2.2 使用苯胺、微结晶纤维素粉末或有明确定义的可生物分解的聚合物作为正控制参比材料。
3、开始实验
3.1 提前一天准备好仪器,添加变色硅胶,连接好气路;
3.2打开曝气开关及红外探头;
3.3平衡 24 小时;
3.4如果红外探头的数据保持在 400-500ppm,说明仪器性能正常;
3.5 按如下表格将接种物及材料装入反应瓶中并混匀;
| 反应瓶 | 接种物 | 纤维素 | 待测物1 | 待测物2 | 待测物3 |
| 1 | 300ml | ||||
| 2 | 300ml | ||||
| 3 | 300ml | 2g | |||
| 4 | 300ml | 2g | |||
| 5 | 300ml | 2g | |||
| 6 | 300ml | 2g | |||
| 7 | 300ml | 2g | |||
| 8 | 300ml | 2g | |||
| 9 | 300ml | 2g |
注:反应瓶容积为500ml;测量瓶内的pH值,将其调至pH=7。
将1-9号反应瓶塞插入反应瓶内,旋紧反应瓶盖,以防止漏气;
为了保证红外探头不水汽损坏,每 5 天更换一次硅胶,该步骤至关重要;
反应瓶每月加一次水,保证溶液体积 300ml;
整个实验过程,用到的器具应干净,避免微生物影响实验数据。
3.6打开数据处理系统,清空原始数据;
3.7开始实验数据的积累及记录,直到实验完成
4、结束实验
最大实验周期为6个月。
当生化需氧量达到稳定阶段后并预计没有更进一步的生物分解时,结束实验。
在试验结束时,立即测定反应瓶中硝酸盐和亚硝酸盐的浓度,或者取适当样品保存待测。用这些值去修正由于硝化作用所产生的生物分解程度的偏差。
5、结果的有效性
只有试验符合下列事项,才可以认为有效:
5.1 试验结束时,参比材料的生物分解百分率>60%;
5.2 在试验结束时每只堆肥容器的生物分解百分率之间的相对偏差不超过20%;
5.3 在实验结束时,空白组的二氧化碳释放量不超过依据经验值的上限。
六、结果的计算
1、计算二氧化碳的理论释放量
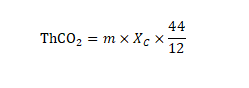
按照以下公式计算实验材料的理论二氧化碳释放量(ThCO2),以(g)表示:

式中:
m表示实验开始时加入反应瓶中实验材料的总干固体,单位为(g)
XC表示实验材料中总有机碳与总干固体的比,单位为克每克(g/g)
44和12分别表示二氧化碳的分子量和碳的原子量
2、计算生物分解百分率
每个试验周期采用下式根据累计释放的二氧化碳量,计算实验材料的生物分解百分率DT(%);

式中:
(CO2)T表示每个含有实验混合物的反应瓶累计释放的二氧化碳量,单位为克每个容器(g/容器)
(CO2)T表示空白容器累计释放的二氧化碳量的平均值,单位为克每个容器(g/容器)
ThCO2表示实验材料产生的理论二氧化碳量,单位为克每个容器(g/容器)
如果每个结果的相对偏差小于20%,则计算平均生物分解百分率,否则,单独使用每个反应瓶的数值。
使用同样的方法计算参比材料的生物分解率。
扫描关注我们
-
北京托摩根生物科技有限公司
电话:4000-688-151
-
联系地址:北京市昌平区回龙观镇立业路6号北京大数据智能产业园2号楼2611